Hexobendine
Hexobendine is a vasodilator that acts as an adenosine reuptake inhibitor.[1]
![]() | |
| Clinical data | |
|---|---|
| ATC code | |
| Identifiers | |
IUPAC name
| |
| CAS Number | |
| PubChem CID | |
| ChemSpider | |
| UNII | |
| CompTox Dashboard (EPA) | |
| ECHA InfoCard | 100.000.173 |
| Chemical and physical data | |
| Formula | C30H44N2O10 |
| Molar mass | 592.686 g·mol−1 |
| 3D model (JSmol) | |
SMILES
| |
InChI
| |
| | |
Synthesis
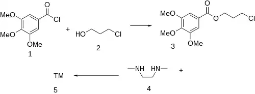
Hexobendine can be synthesized starting with a reaction between 3,4,5-trimethoxybenzoyl chloride (1) and 3-chloropropanol (2) to give the corresponding ester, 3-chloropropyl 3,4,5-trimethoxybenzoate (3). The last step involves the reaction between two molar equivalents of 3 with one molar equivalent of 1,2-dimethylethylenediamine (4) completing the synthesis of hexobendine (5).[2][3]
Synthesis of hexobendine
See also
References
- Kolassa N, Pfleger K (January 1975). "Adenosine uptake by erythrocytes of man, rat and guinea-pig and its inhibition by hexobendine and dipyridamole". Biochemical Pharmacology. 24 (1): 154–6. doi:10.1016/0006-2952(75)90331-7. PMID 1168469.
- "Pharmaceutical Substances: Hexobendine". Thieme.
- AT231432 idem Schlogl Karl, Kraupp Otto, U.S. Patent 3,267,103 (1964 & 1966 to Chemie Linz Ag).
This article is issued from Wikipedia. The text is licensed under Creative Commons - Attribution - Sharealike. Additional terms may apply for the media files.
