Etifelmine
Etifelmine (INN; also known as gilutensin) is a stimulant drug. It was used for the treatment of hypotension (low blood pressure).[1]
![]() | |
| Clinical data | |
|---|---|
| ATC code |
|
| Identifiers | |
IUPAC name
| |
| CAS Number | |
| PubChem CID | |
| ChemSpider |
|
| UNII | |
| ChEMBL | |
| CompTox Dashboard (EPA) | |
| Chemical and physical data | |
| Formula | C17H19N |
| Molar mass | 237.346 g·mol−1 |
| 3D model (JSmol) | |
SMILES
| |
InChI
| |
| (verify) | |
Synthesis
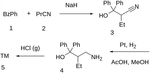
The base catalyzed reaction between benzophenone [119-61-9] (1) and butyronitrile [109-74-0] (2) gives 2-[hydroxy(diphenyl)methyl]butanenitrile [22101-20-8] (3). Catalytic hydrogenation reduces the nitrile group to a primary amine giving 1,1-diphenyl-2-ethyl-3-aminopropanol [22101-87-7] (4). The tertiary hydroxyl group is dehydrated by treatment with anhydrous hydrogen chloride gas, completing the synthesis of Etifelmine (5).
References
- Poepelmann H (August 1964). "The treatment of hypotensive circulatory disorders with gilutensin". Therapie der Gegenwart (in German). 103: 1007–12. PMID 14254672.
- Dr Werner Heinrich & Dr Walter Heigel, DE 1122514 (1962 to Giulini Gmbh Geb).
This article is issued from Wikipedia. The text is licensed under Creative Commons - Attribution - Sharealike. Additional terms may apply for the media files.

