Fedrilate
Fedrilate is a centrally acting cough suppressant. It was patented as a mucolytic by UCB in 1971, but was never brought to market in the US.[1] In the Netherlands, it has been marketed as Tussefan and in combination with guaifenesin as Tussefan expectorans.[2]
![]() | |
| Clinical data | |
|---|---|
| Trade names | Tussefan |
| ATC code | |
| Identifiers | |
IUPAC name
| |
| CAS Number | |
| PubChem CID | |
| ChemSpider | |
| UNII | |
| KEGG | |
| ChEMBL | |
| ECHA InfoCard | 100.041.390 |
| Chemical and physical data | |
| Formula | C20H29NO4 |
| Molar mass | 347.455 g·mol−1 |
| 3D model (JSmol) | |
SMILES
| |
InChI
| |
| (verify) | |
Synthesis
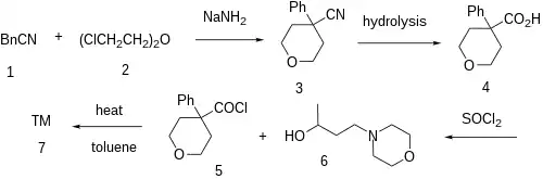
Sodamide alkylation between benzyl cyanide (1) and bis(chloroethyl)ether [111-44-4] (2) gives 4-phenyloxane-4-carbonitrile [1202-81-9] (3). Hydrolysis of the nitrile gives 4-phenyloxane-4-carboxylic acid [182491-21-0] (4). Treatment with thionyl chloride gives the corresponding acid chloride (5). Ester formation with 4-(morpholin-4-yl)butan-2-ol [858440-45-6] (6) gives Fedrilate proper (7).
References
- US patent 3567835, Henri Morren, "Mucolytic salts, compositions and process for treating mucus", issued March 2, 1971
- Kok J, Oosterveld WJ, Sibilo SR (1979). Pharmacotherapeutisch Vademecum (in Dutch). Bussum: Romen. ISBN 90-228-8006-0.
- DE1518403 idem Morren Henri, GB 1060005 (1967 to UCB SA).
- Henri Morren, U.S. Patent 3,422,102 (1969 to UCB SA).
- Eisleb, O. (6 August 1941). "Neue Synthesen mittels Natriumamids". Berichte der deutschen chemischen Gesellschaft (A and B Series). 74 (8): 1433–1450. doi:10.1002/cber.19410740814.
This article is issued from Wikipedia. The text is licensed under Creative Commons - Attribution - Sharealike. Additional terms may apply for the media files.

