Telescoping series
In mathematics, a telescoping series is a series whose general term is of the form , i.e. the difference of two consecutive terms of a sequence .
As a consequence the partial sums only consists of two terms of after cancellation.[1][2] The cancellation technique, with part of each term cancelling with part of the next term, is known as the method of differences.
For example, the series
(the series of reciprocals of pronic numbers) simplifies as
An early statement of the formula for the sum or partial sums of a telescoping series can be found in a 1644 work by Evangelista Torricelli, De dimensione parabolae.[3]
In general

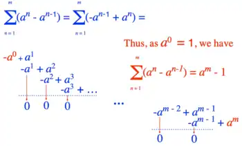
Telescoping sums are finite sums in which pairs of consecutive terms cancel each other, leaving only the initial and final terms.[4]
Let be a sequence of numbers. Then,
If
Telescoping products are finite products in which consecutive terms cancel denominator with numerator, leaving only the initial and final terms.
Let be a sequence of numbers. Then,
If
More examples
- Many trigonometric functions also admit representation as a difference, which allows telescopic canceling between the consecutive terms.
- Some sums of the form where f and g are polynomial functions whose quotient may be broken up into partial fractions, will fail to admit summation by this method. In particular, one hasThe problem is that the terms do not cancel.
- Let k be a positive integer. Then where Hk is the kth harmonic number. All of the terms after 1/(k − 1) cancel.
- Let k,m with k m be positive integers. Then
An application in probability theory
In probability theory, a Poisson process is a stochastic process of which the simplest case involves "occurrences" at random times, the waiting time until the next occurrence having a memoryless exponential distribution, and the number of "occurrences" in any time interval having a Poisson distribution whose expected value is proportional to the length of the time interval. Let Xt be the number of "occurrences" before time t, and let Tx be the waiting time until the xth "occurrence". We seek the probability density function of the random variable Tx. We use the probability mass function for the Poisson distribution, which tells us that
where λ is the average number of occurrences in any time interval of length 1. Observe that the event {Xt ≥ x} is the same as the event {Tx ≤ t}, and thus they have the same probability. Intuitively, if something occurs at least times before time , we have to wait at most for the occurrence. The density function we seek is therefore
The sum telescopes, leaving
Similar concepts
Other applications
For other applications, see:
- Grandi's series;
- Proof that the sum of the reciprocals of the primes diverges, where one of the proofs uses a telescoping sum;
- Fundamental theorem of calculus, a continuous analog of telescoping series;
- Order statistic, where a telescoping sum occurs in the derivation of a probability density function;
- Lefschetz fixed-point theorem, where a telescoping sum arises in algebraic topology;
- Homology theory, again in algebraic topology;
- Eilenberg–Mazur swindle, where a telescoping sum of knots occurs;
- Faddeev–LeVerrier algorithm.
References
- Tom M. Apostol, Calculus, Volume 1, Blaisdell Publishing Company, 1962, pages 422–3
- Brian S. Thomson and Andrew M. Bruckner, Elementary Real Analysis, Second Edition, CreateSpace, 2008, page 85
- Weil, André (1989). "Prehistory of the zeta-function". In Aubert, Karl Egil; Bombieri, Enrico; Goldfeld, Dorian (eds.). Number Theory, Trace Formulas and Discrete Groups: Symposium in Honor of Atle Selberg, Oslo, Norway, July 14–21, 1987. Boston, Massachusetts: Academic Press. pp. 1–9. doi:10.1016/B978-0-12-067570-8.50009-3. MR 0993308.
- Weisstein, Eric W. "Telescoping Sum". MathWorld. Wolfram.
- "Telescoping Series - Product". Brilliant Math & Science Wiki. Brilliant.org. Retrieved 9 February 2020.
- Bogomolny, Alexander. "Telescoping Sums, Series and Products". Cut the Knot. Retrieved 9 February 2020.
