wikiHow is a “wiki,” similar to Wikipedia, which means that many of our articles are co-written by multiple authors. To create this article, 32 people, some anonymous, worked to edit and improve it over time.
This article has been viewed 2,606,334 times.
Learn more...
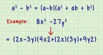
This is an article about how to factorize a 3rd degree polynomial. We will explore how to factor using grouping as well as using the factors of the free term.
Steps
Factoring By Grouping
-
1Group the polynomial into two sections. Grouping the polynomial into two sections will let you attack each section individually.[1]
- Say we're working with the polynomial x3 + 3x2 - 6x - 18 = 0. Let's group it into (x3 + 3x2) and (- 6x - 18)
-
2Find what's the common in each section.
- Looking at (x3 + 3x2), we can see that x2 is common.
- Looking at (- 6x - 18), we can see that -6 is common.
Advertisement -
3Factor the commonalities out of the two terms.
- Factoring out x2 from the first section, we get x2(x + 3).
- Factoring out -6 from the second section, you'll get -6(x + 3).
-
4If each of the two terms contains the same factor, you can combine the factors together.[2]
- This gives you (x + 3)(x2 - 6).
-
5
Factoring Using the Free Term
-
1Rearrange the expression so it's in the form of ax3+bx2+cx+d.[4]
- Let's say you're working with the equation: x3 - 4x2 - 7x + 10 = 0.
-
2Find the all of the factors of "d". The constant "d" is going to be the number that doesn't have any variables, such as "x," next to it.
- Factors are the numbers you can multiply together to get another number. In your case, the factors of 10, or "d," are: 1, 2, 5, and 10.
-
3Find one factor that causes the polynomial to equal to zero. We want to determine which factor makes the polynomial equal zero when we substitute the factor for each "x" in the equation.
- Start by using your first factor, 1. Substitute "1" for each "x" in the equation:
(1)3 - 4(1)2 - 7(1) + 10 = 0 - This gives you: 1 - 4 - 7 + 10 = 0.
- Because 0 = 0 is a true statement, you know that x = 1 is a solution.
- Start by using your first factor, 1. Substitute "1" for each "x" in the equation:
-
4Do a little rearranging. If x = 1, you can rearrange the statement to look a bit different without changing what it means.
- "x = 1" is the same thing as "x - 1 = 0" or "(x - 1)". You've just subtracted a "1" from each side of the equation.
-
5Factor your root out of the rest of the equation. "(x - 1)" is our root. See if you can factor it out of the rest of the equation. Take it one polynomial at a time.
- Can you factor (x - 1) out of the x3? No you can't. But you can borrow a -x2 from the second variable; then factor it: x2(x - 1) = x3 - x2.
- Can you factor (x - 1) out of what remains from your second variable? No, again you can't. You need to borrow another little bit from the third variable. You need to borrow a 3x from -7x. This gives you -3x(x - 1) = -3x2 + 3x.
- Since you took a 3x from -7x, our third variable is now -10x and our constant is 10. Can you factor this? You can! -10(x - 1) = -10x + 10.
- What you did was rearrange the variables so that you could factor out a (x - 1) out of the entire equation. Your rearranged equation looks like this: x3 - x2 - 3x2 + 3x - 10x + 10 = 0, but it's still the same thing as x3 - 4x2 - 7x + 10 = 0.
-
6Continue to substitute by the factors of the free term. Look at the numbers that you factored out using the (x - 1) in Step 5:
- x2(x - 1) - 3x(x - 1) - 10(x - 1) = 0. You can rearrange this to be a lot easier to factor one more time: (x - 1)(x2 - 3x - 10) = 0.
- You're only trying to factor (x2 - 3x - 10) here. This factors down into (x + 2)(x - 5).
-
7Your solutions will be the factored roots. You can check whether your solutions actually work by plugging each one, individually, back into the original equation.
- (x - 1)(x + 2)(x - 5) = 0 This gives you solutions of 1, -2, and 5.
- Plug -2 back into the equation: (-2)3 - 4(-2)2 - 7(-2) + 10 = -8 - 16 + 14 + 10 = 0.
- Plug 5 back into the equation: (5)3 - 4(5)2 - 7(5) + 10 = 125 - 100 - 35 + 10 = 0.
Practice Problems and Answers
Community Q&A
-
QuestionWhat if the constant term is zero?
OrangejewsCommunity AnswerThen x is one of its factors. Factoring that out reduces the rest to a quadratic. -
QuestionWhat if the third degree polynomial does not have the constant term?
Community AnswerYou just need to factor out the x. Let's say you're given: x^3+3x^2+2x=0. Then x(x^2+3x+2)=0. Roots: x -> 0; x^2+3x+1 -> (x+2)(x+1) -> -2, -1. -
QuestionCan all three roots be imaginary?
OrangejewsCommunity AnswerNo, not if all coefficients are real. Complex roots always come in conjugate pairs and polynomials always have exactly as many roots as its degree, so a cubic might have 3 real roots, or 1 real root and 2 complex roots.
References
About This Article
To factor a cubic polynomial, start by grouping it into 2 sections. Then, find what's common between the terms in each group, and factor the commonalities out of the terms. If each of the 2 terms contains the same factor, combine them. Finally, solve for the variable in the roots to get your solutions. To learn how to factor a cubic polynomial using the free form, scroll down!
-Step-31-Version-2.webp)



















-Step-31-Version-2.webp)






































