The Chemistry of Colour
Coloured chemicals absorb electromagnetic waves in the visible part of the spectrum. The absorbed energy
causes changes in the energy of the molecules’ electrons. The electrons change from a ‘ground
state’ to an ‘excited state’.
Most transitions are not caused by visible light. Many absorb ultra-violet
radiation. Chemicals which absorb UV radiation are colourless (unless they fluoresce). The
energy changes when molecules of a coloured compound and of a colourless compound are illustrated below:

Remember that the apparent colour is caused by absorbing photons of a complementary colour. A
blue compound is blue because it absorbs yellow light.

Chromophores
Chemical structures which have excited states corresponding to visible light are called
chromophores. There are two main types:
1. Transition Metal Complexes.
Transition metals form complex ions – the metal binds to small molecules
or anions called ligands. The ligands allow the electrons of the metal ion to enter an excited
state if the electrons absorb a photon of visible light.
e.g. tetrachlorocuprate (II) and hexaaquacopper (II) ions:
.png.webp)
.png.webp)
The partially-occupied d-orbitals of transition metal compounds are important in giving colour to
transition metal complexes. See diagram (which could represent V+2, Cr+3,
Mn+4, etc.):

①. In an uncomplexed ion, all the d-orbitals have the same energy.
②. When ligands surround the ion, the negative charges of the ligands make the d-orbitals
less stable (higher energy).
③. Critically, the ligands will come closer to some d-orbitals than to others. Typically,
two or three of the orbitals will be destabilised more than the remainder.
An electron in one of the lower d-orbitals can acquire the energy to be excited into a higher
d-orbital:

This mechanism allows transition metal complexes to absorb photons of visible light.
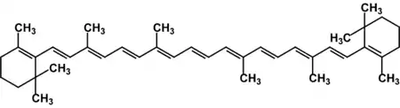
2. Conjugated/Delocalised Electron Systems.

When single and double bonds alternate, the electrons in the double bonds can enter an excited
state if they absorb a photon of visible light. e.g. β-carotene (above) has ten conjugated C=C bonds:

The diagram above shows the excitation energies of conjugated aldehydes. n is the number of C=C
double bonds which are conjugated. The simplest (n=1) is CH3-CH=CH-CH=O.
Note how the excitation energy is lower with higher numbers of conjugated bonds.
| n | Wavelength (nm) | Energy (kJ mol−1) |
| 1 | 220 | 544 |
| 2 | 270 | 443 |
| 3 | 312 | 384 |
| 4 | 343 | 349 |
| 5 | 370 | 324 |
| 6 | 393 | 305 |
| 7 | 415 | 289 |
Chromophores of dye molecules often contain unsaturated groups such as >C=O and -N=N-, which are
part of a conjugated bonding system, usually involving aromatic rings. Chrysoidine, a
basic dye, is shown below:

Note how the –N=N- group is just the centre of a conjugated system which extends across all
twelve carbon atoms and includes seven double bonds. All
azo dyes contain the -N=N- arrangement.
Auxochromes: Attached to the chromophore are two -NH2 groups which interact with
the chromophore to modify the orange colour. A group of atoms attached to a chromophore which
modifies the ability of that chromophore to absorb light is called an auxochrome. They can modify
or enhance the colour of the dye. Examples: -OH, - NH2, aldehydes.
Added functional groups can also:
- alter the solubility of the dye in water or other solvents.
- bind the dye molecules to cloth, paper or other substrates.

References
Notes on colour chemistry by elecuter.
- ↑ Streitwieser, A & Heathcock, CH (1985) Introduction to organic chemistry (3rd ed) p 628, Macmillan, New York