Pinner triazine synthesis
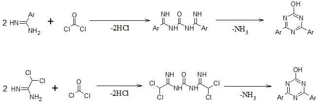
The Pinner triazine synthesis describes the preparation of 2-hydroxyl-4,6-diaryl-s-triazines by reaction of aryl amidines and phosgene. This reaction may be extended to halogenated aliphatic amidines.[1][2][3]

This reaction was first reported by Adolf Pinner in 1890[4]
References
- H. Schröder, C. Grundmann, J. Am. Chem. Soc. 78, 2447 (1956)
- E. M. Smolin, L. Rapoport, The Chemistry of Heterocyclic Compounds, A. Weissberger, Ed., s-Triazines and Derivatives (Interscience, NY, 1959) p186
- Merck Index 14th Ed.
- A. Pinner, Chemische Berichte., 23, 2919 (1890)
This article is issued from Wikipedia. The text is licensed under Creative Commons - Attribution - Sharealike. Additional terms may apply for the media files.