Geometric Distribution
Probability mass function![]() | |
Cumulative distribution function![]() | |
| Parameters | success probability (real) |
|---|---|
| Support | |
| PMF | |
| CDF | |
| Mean | |
| Median | (not unique if is an integer) |
| Mode | |
| Variance | |
| Skewness | |
| Ex. kurtosis | |
| Entropy | |
| MGF | , for |
| CF | |
There are two similar distributions with the name "Geometric Distribution".
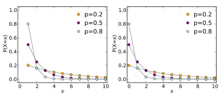
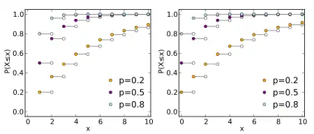
- The probability distribution of the number X of Bernoulli trials needed to get one success, supported on the set { 1, 2, 3, ...}
- The probability distribution of the number Y = X − 1 of failures before the first success, supported on the set { 0, 1, 2, 3, ... }
These two different geometric distributions should not be confused with each other. Often, the name shifted geometric distribution is adopted for the former one. We will use X and Y to refer to distinguish the two.
Shifted
The shifted Geometric Distribution refers to the probability of the number of times needed to do something until getting a desired result. For example:
- How many times will I throw a coin until it lands on heads?
- How many children will I have until I get a girl?
- How many cards will I draw from a pack until I get a Joker?
Just like the Bernoulli Distribution, the Geometric distribution has one controlling parameter: The probability of success in any independent test.
If a random variable X is distributed with a Geometric Distribution with a parameter p we write its probability mass function as:
With a Geometric Distribution it is also pretty easy to calculate the probability of a "more than n times" case. The probability of failing to achieve the wanted result is .
Example: a student comes home from a party in the forest, in which interesting substances were consumed. The student is trying to find the key to his front door, out of a keychain with 10 different keys. What is the probability of the student succeeding in finding the right key in the 4th attempt?
Unshifted
The probability mass function is defined as:
- for
Mean
Let q=1-p
We can now interchange the derivative and the sum.
Variance
We derive the variance using the following formula:
We have already calculated E[X] above, so now we will calculate E[X2] and then return to this variance formula:
Let q=1-p
We now manipulate x2 so that we get forms that are easy to handle by the technique used when deriving the mean.
We then return to the variance formula

